STOCHASTIC AND QUANTUM EFFECTS OF INTERACTION BETWEEN RF SQUIDS WITH EM FIELDS



Over the past two decades, there has been a rapid development of quantum information processing and secure communication technologies. This requires the development of appropriate superconducting circuits containing qubits as computational elements and ultrasensitive single-photon detectors of electromagnetic radiation in the optical, infrared and microwave frequency ranges, and the study of their interaction with the electromagnetic (EM) field. The basis of such qubits, in particular the flux qubit, is a superconducting loop with a Josephson junction (a well-known RF SQUID-like circuit). We study the possibilities of increasing the sensitivity of such structures to low-frequency magnetic fields (classical RF SQUID, stochastic resonance effect) and high-frequency microwave photons (quantum counter based on the flux qubit).
Q U A N T U M E F F E C T S
Single microwave photon counter based on a
superconducting flux qubit
Superconducting single-photon detectors in the optical and IR ranges already exist and are even commercially available, but the microwave quantum has an energy 4-5 orders of magnitude lower, so the detection methods are fundamentally different. Single-photon microwave detectors are still at the experimental stage. We are solving this complex task together with all the physical and technical problems associated with it.



The single photon counter proposed by us [1, 2] utilizes principally the transitions between discrete quantum states of a flux qubit (which we calculated numerically in [1] from the Schrödinger equation) after resonant absorption of a microwave (~10 GHz) photon by it. As a result, the magnetic flux in the qubit loop changes. This small change (~0.3F0, quantum of magnetic flux) is recorded by a weakly coupled RF SQUID, which operates in a non-hysteretic mode [3]. The SQUID pumping frequency is increased by an order of magnitude (up to 500 MHz) compared to traditional designs to reduce the effect of the so-called “back action”. (Back action causes decoherence of the qubit, i.e., the decay of its quantum states).






The deeply cooled micropower (1-3 mW) UHF amplifier is designed [4] using High Electron Mobility Transistors (HEMTs) for the same purpose [5]. Due to very low microwave photon energy, the counter along with the amplifier should be cooled down to 10-20 mK temperature and shielded from EM environment by a three-layer magnetic shield [6, 7] (the problem of “qubit isolation” [8]). At the same time, all the measuring circuits that are connected to the room-temperature electronics should be filtered out in a wide frequency band by powder filters [9]. The experimental validation requires a lithographic patterning equipment to prepare the samples and a dilution refrigerator, which we hope to find in the framework of collaboration with European scientific institutions.
S T O C H A S T I C E F F E C T S
Stochastic resonance in RF SQUIDs and
superconducting circuits
Stochastic resonance (SR) is a very common paradoxical phenomenon of ordering various dynamic and threshold systems under the influence of noise of a certain intensity, which makes them more sensitive to weak periodic signals.
Taking in mind a wide range of applications of superconducting quantum interferometers (SQUIDs) for high-sensitive measurements in industry, biomedicine, geology, scientific researches, etc., we study manifestation of SR in single-Josephson-junction superconducting quantum interferometers (RF SQUIDs) in order to find an optimal set of SQUID and signal parameters that enables high amplification of a weak periodic signal on a noisy background.
Using a mathematical model of the RF SQUID loop containing a Josephson junction (not obviously a tunnel-type one), we simulate stochastic dynamics of magnetic flux in the SQUID loop affected by noise with various statistics and various weak periodic signals.
For experimental studies, we built a low-temperature (liquid helium) measuring setup with self-shielded 3D toroidal RF SQUIDs made of bulk niobium incorporating adjustable Josephson junctions.
Some of the results obtained are indicated below (in
reverse chronological order).
Controlled amplification of spectrally complex
weak signals in RF SQUID
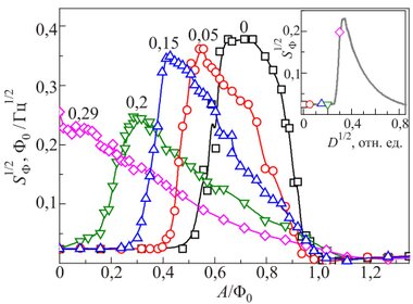
It has been experimentally shown that with a suboptimal noise flux intensity that is insufficient to implement stochastic resonance (SR), it is possible to control the average frequency of the SQUID loop transitions between its metastable states. This enables the stochastic amplification of the weak signal with the maximum possible gain using an additional deterministic alternating magnetic flux with a frequency significantly exceeding the frequency of the amplified useful signal. The frequency characteristics of the amplification of a composite multi-frequency signal in the modes of controlled stochastic amplification and "pure" SR differ from each other [10].


Stochastic amplification of weak signals in an RF SQUID with ScS contact at 0<T<Tc
SR in RF SQUID with a near-atomic-size point contact (ScS ASC) is modified with the temperature rise due to smearing of the energy barrier between adjacent metastable current states of the loop thus resulting a change in the gain of the stochastically amplified weak signal. At high enough temperature, the SQUID behavior of ScS-SQUID resembles that of a SIS-SQUID [11].


SR in RF SQUID
with shunted ScS junction
Using a point (ScS) contact of near-atomic size (or quantum point contact, QPC) in RF SQUID provides SR conditions at any, arbitrary small, value of loop inductance and contact critical current unlike SQUIDs with tunnel (SIS) junctions. This is due to unusual sharp-top potential (at near-zero temperature) which always has a barrier between two wells thus making the ScS RF SQUID bistable. [12, 13]


Induced stochastic transitions in multi-well potential
In addition to the usual scenario of the SR in a bistable system with Gaussian noise, the transitions between multiple metastable states of the multi-well SQUID loop potential under the influence of a binary noise is observed experimentally. This can be interpreted as a kind of noise ”spectroscopy” of the metastable states of the SQUID loop with different values of the trapped magnetic flux. [14, 15]


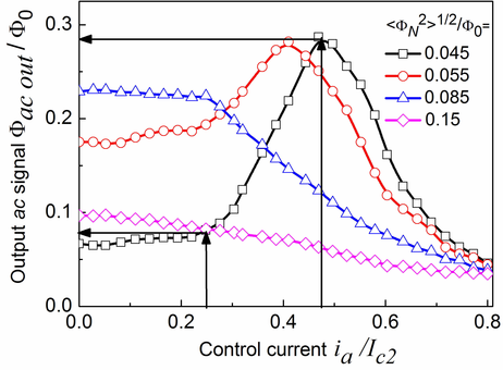
Stochastic-parametric resonance
Numerical solution of Langevin equations for a single-junction superconducting quantum interfero-meter shows that cooperative action of noise and a regular high-frequency electromagnetic field results in the deterministic-assisted SR amplification of weak harmonic signal similar to the common SR effect. This new effect which we call parametric-stochastic resonance (PSR) gives a possibility of maximizing gain for an arbitrary noise level. [16]


SR in coupled SQUIDs
A numerical simulation of the SR in the adiabatic approximation in overdamped superconducting loops closed by a weak link shows that coupling of single SQUID loops in pair enhances the gain of weak sine signal and the signal-to-noise ratio. These effects can be used to create new stochastic SQUID antennas for measurements of harmonic and quasi-harmonic signals. [17]


Stochastic amplifier for flux qubit readout
Basing on SR 4-terminal SQUID, a fully superconducting detector of a flux qubit states id proposed. Absence of high-frequency and quasiparticle current in the qubit-measuring circuit weakly coupled with the qubit provides little back action and prevents fast qubit decoherencing durin weak continuous measurements of quantum states.
O. G. Turutanov, V. I. Shnyrkov, A. N. Omelyanchouk. Stochastic amplifier based on superconducting interferometer with 4-terminal Josephson junction for flux qubit readout. MSMW’07 Symposium Proceedings, Kharkov, Ukraine, p.822-824


Tunable SR-based input circuits for SQUIDs
The potential barrier between metastable states in a SQUID loop with incorporated 4-terminal mesoscopic weak link is governed by control current driven through two leads of the 4-terminal weak link. The effect enables, with presence of thermal or external noise, building novel superconducting SR amplifiers with tunable gain and frequency band for SQUID input circuits. [18, 19]

